English (UK)English (UK)
  • Español
Calar Alto Astronomical Observatory
  • News
    • Press releases
    • Brief News
    • Public outreach
  • About CAHA
    • Introduction
    • Contact
    • Gallery
    • Staff
      • Staff List
      • Internal
    • CAHA Departments
      • Astronomy
      • Computer
      • Maintenance
      • Electronics
      • Mechanics
      • Project Office
    • CAHA Committees
      • Executive Committee
      • Science Advisory Committee
      • Time Allocation Committee
    • Transparency Portal
    • Job Offers
    • Privacy Policy
      • Privacy Policy
      • Cookies Policy
      • Surveillance Policy
      • Security policy
  • Observing
    • Telescopes & Instruments
    • DDT
    • Data Management Plan
    • Call for proposals
    • Information for Astronomers
    • Utilities & Forms
    • Weather
  • Science
    • Science Advisory Committee
    • Instrumental projects
      • CARMENES+
      • TARSIS
      • MARCOT
    • Legacy programs
      • CARMENES Legacy+
      • CAVITY
      • KOBE
    • Publications
    • Public archives
    • Meteors and Fireballs
    • Reports
  • Services
    • Brief description
    • Access protocols and committees
    • Observing time
    • Data Management Plan
    • Mirror aluminising
    • Public archives
    • Weather station
    • Visit Calar Alto
    • Open tenders / Contracts
    • Outdated tenders / Contracts
    • Tenders status
    • Anti-fraud Measures Plan

A “hot Jupiter” challenges planetary formation theories


teaserEvery week, telescopes all around the world discover new exoplanets (planets orbiting not the Sun, but other stars), but the last found by the United Kingdom Infrared Telescope (WTS-UKIRT), at Hawaii, is far from usual. “It is an special planet, because it has a too large radius for its age and mass, according to current theories on planet formation”, explains Luis Sarro Baro, researcher at the Artificial Intelligence Department of the Spanish university UNED, one of the authors of this finding, that has just been published in the journal Monthly Notices of the Royal Astronomical Society.

 

These theories predict that the sizes of newborn planets shrink with time, as these bodies radiate out their internal energy. However, if we take into account that the just discovered exoplanet (named WTS-1b) and its parent star were born 600 million years ago, this body should have a radius 20% larger than Jupiter, and not 50% larger, as it has been found.

 

  RV
     

Variation in the radial velocity of the central star along        a complete orbit of the planet around it

Infrared photometric thechniques have been used to find WTS-1b by this international team, in which we find researchers from the Centre for Astrobiology (CAB), the Astrophysical Institute of Canary Islands (IAC), the German-Spanish Astronomical Centre (Calar Alto Observatory, CAHA), La Laguna University, the Max Planck Institute for Extraterrestrial Physics (MPE) and other research institutes from Europe and Latin America. The observations reveal that this exoplanet is a gaseous object belonging to the category known as “hot Jupiters”, because it shares some features with the giant planet of our Solar System, but it orbits its central star (WTS-1) at a distance much smaller than that from Jupiter to the Sun.

 

“In comparison, the Earth is placed at one astronomical unit of distance from its star; Jupiter is at 5.2 astronomical units and WTS-1b at only 47 thousandths (0.047) of one astronomical unit from its star”, points out the astrophysicist.

 

“This result comes out from a wide international collaboration and it offers a clear example of the synergies that result from the operation of telescopes belonging to the 2-4 meter class. The data that lead to this result were obtained by means of telescopes placed at Hawaii, Texas, Arizona, Canary Islands and Almeria”, states David Barrado, researcher at CAB and director of Calar Alto Observatory. Calar Alto has contributed to this study with visible light spectroscopy obtained with the instrument CAFOS attached to the 2.2 m aperture Zeiss reflecting telescope.

 

 

Four times the gas giant

 

The radius of the exoplanet is 1.5 times that of Jupiter and its mass is four times larger. It is placed at the galactic disk, at some 10 400 light-years from Earth. The central star’s radius is 15% larger than that of the Sun, and it displays a surface temperature (some 6000 centigrade degrees) somewhat higher.

 

Another feature of the exoplanet, common to any other “hot Jupiter”, is that it is believed that it did not form at the place where it is now, but at a much larger distance from the central star. The planet moved later to its current position.

 

The closeness of both celestial bodies places WTS-1b well out from the habitability zone, but this does not necessarily imply that it cannot harbor life forms. The researcher from UNED underlines that “in Earth there is life at places with adverse conditions as hard as those found at the Tinto river, Antarctica or oceanic fumaroles, something unthinkable some years ago. However, currently it is considered highly improbable that a planet so close to its star may have life forms.”

 

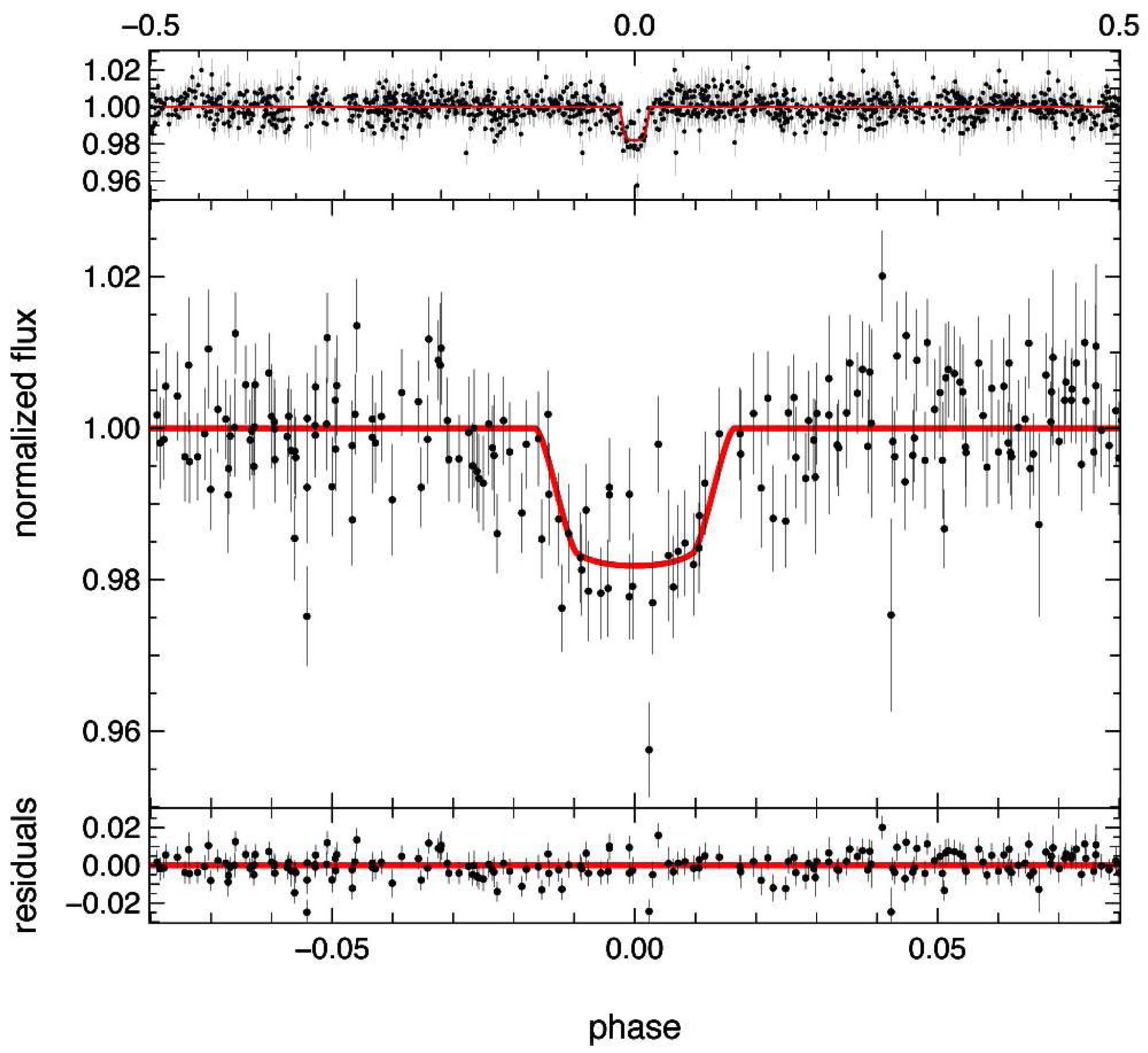
LC1

Evolution of the apparent brightness of the central star as      planet WTS-1b passes in front of it causing an eclipse

 
“Catched” with infrared photometry

 

The technique of infrared photometry used in this study is a common technique to detect planets by means of direct images (“photographs”), but not to find them by their transits or eclipses. The brightness of hundreds of thousands of stars in the same sky area is measured along time, and bodies orbiting these stars can be detected if they have a motion such that the planets cross sometimes in front of their stars, causing an eclipse and, thus, a decrease in apparent intensity.

 

After that, researchers obtain spectra (i.e., star light is decomposed into its different wavelengths) to discard alternative causes such as, for instance, other stars, and to confirm the planetary nature of the eclipsing object. At the same time, spectra allow to deduce the physical properties of the central star.

 

WTS is an on-going progam of photometric monitoring using the Wide-Field Camera (WFCAM) at the United Kingdom Infrared Telescope (UKIRT), place at Manua Kea (Hawaii). The project is managed by the international network RoPACS (Rocky Planets Around Cool Stars), integrated by many international research institutions.



 

© Calar Alto Observatory, January 2013                                       This email address is being protected from spambots. You need JavaScript enabled to view it.

 

 

  • Facebook
  • Twitter

Pie de página

Centro Astronómico Hispano en Andalucía
Observatorio de Calar Alto
Sierra de los Filabres
04550 Gérgal (Almería, SPAIN)

+34-950-632500

+34-950-632504

info@caha.es

Carl Sagan

Somos polvo de estrellas, buscando en el firmamento las respuestas que el universo tiene guardadas para nosotros. La astronomía es el arte de desvelar los secretos del cosmos, y cada noche, al observar el cielo, nos acercamos un poco más a nuestro lugar en el infinito.

Carl Sagan
  • CAHA Home
  • Trabaja con nosotros
  • Perfil del contratante
  • Política de privacidad
  • Política de Cookies
  • Aviso Legal
© 2026 Centro Astronómico Hispano en Andalucía
  • News
    • Press releases
    • Brief News
    • Public outreach
  • About CAHA
    • Introduction
    • Contact
    • Gallery
    • Staff
      • Staff List
      • Internal
    • CAHA Departments
      • Astronomy
      • Computer
      • Maintenance
      • Electronics
      • Mechanics
      • Project Office
    • CAHA Committees
      • Executive Committee
      • Science Advisory Committee
      • Time Allocation Committee
    • Transparency Portal
    • Job Offers
    • Privacy Policy
      • Privacy Policy
      • Cookies Policy
      • Surveillance Policy
      • Security policy
  • Observing
    • Telescopes & Instruments
    • DDT
    • Data Management Plan
    • Call for proposals
    • Information for Astronomers
    • Utilities & Forms
    • Weather
  • Science
    • Science Advisory Committee
    • Instrumental projects
      • CARMENES+
      • TARSIS
      • MARCOT
    • Legacy programs
      • CARMENES Legacy+
      • CAVITY
      • KOBE
    • Publications
    • Public archives
    • Meteors and Fireballs
    • Reports
  • Services
    • Brief description
    • Access protocols and committees
    • Observing time
    • Data Management Plan
    • Mirror aluminising
    • Public archives
    • Weather station
    • Visit Calar Alto